Classification and Biological Functions of Lipids

Introduction
Lipids are one of the major macromolecules present in our body, and others include nucleic acids, carbohydrates, and proteins. But unlike the other macro biomolecules, lipids are not polymers – they aren’t composed of monomers. They are hydrophobic in nature because of the predominance of hydrocarbon chains (–CH2–CH2–CH2–CH2–) in their structures.[1]
Lipids have diverse roles in many key biological functions, such as acting as structural components of cell membranes, serving as energy storage sources, and participating in signaling pathways.
In 1665, Robert Boyle observed a milky appearance in animal’s blood collected after their feed. Later, the milky liquid was determined to contain fat, by Henson in 1774.[1] The 18th-19th century marks the era of extensive study of these molecules. And it was in 1827, that fat, along with carbohydrate and protein, were believed to be an essential nutrient for humans and animals.[1]
This article brings you the general structure, properties, classification, and functions of lipids in different organisms.
Lipids and Their General Properties
Lipids are defined as heterogeneous groups of organic molecules soluble in non-polar solvents. Structurally, they are esters or amides of fatty acids. This class includes a range of molecules, such as fats, oils, hormones, and certain components of membranes. These molecules are either non-soluble or are poorly soluble in water.
General Physical Properties of Lipids
- They are soluble in non-polar solvents, such as ether, alcohol, chloroform, acetone, and benzene.[2]
- Lipids are insoluble in water.
- Lipid molecules have no ionic charges.[2]
- Pure fats and oils are colorless, odorless, and tasteless.[2]
- Lipids are considered hydrophobic or amphiphilic small molecules.[2]
- Lipids are greasy in texture and stored in adipose tissues inside the body.
- Lipids are either liquid or non-crystalline solid at room temperature.[2]
- Lipids can either be present in saturated (having only single bonds) or unsaturated (having one or more double bonds) structural form.
Chemical Properties of Lipids
- Hydrolysis of triglycerides: Triglycerides (neutral lipids) on reacting with water form carboxylic acid and alcohol.[2]
- Saponification: Triglycerides on hydrolysis with alkali (NaOH or KOH) or lipase enzymes (termed alkaline hydrolysis) lead to the formation of two products: soap or fatty acid salts of sodium or potassium, and glycerol.[2]
- Hydrogenation: The breakage of double bonds occurs after the reaction of unsaturated fatty acids with hydrogen. This turns the molecules into saturated fatty acids.
- Halogenation: Free or combined fatty acids in the reaction with halogens gain double bonds and cause decolorization of halogen solutions.
- Rancidity: Oxidation and hydrolysis of fats and oil to generate a disagreeable odor – this is known as rancidity.[2]
Classification of Lipids
Lipids were first classified in 1815 by Henri Braconnot in two categories of solid grease and fluid oil.[3] But the true classification was proposed in 1947 by T. P. Hidlich, he divided the simple lipids into grease and waxes.[3]
Lipids can be classified in four ways, depending on:
- chemical composition,
- fatty acids,
- requirements,
- and sources.
Based on the Chemical Composition
Lipids based on chemical composition are divided into three categories: simple lipids, compound lipids, and derived lipids.
1. Simple Lipids
It includes esters of fatty acids and glycerol that are also termed neutral fats or triglycerides. They make up 98-99% of food and body fats and oil.[4] Its three classes are fatty acids, triglycerides, and waxes.
A. Fatty Acids
Fatty acids are the simplest form of lipids. They are a long chain of hydrocarbons (4 to 36 carbons long) with one carboxyl group.[4] These molecules serve as constituents in a large number of complex lipids. In biological systems, fatty acids contain an even number of carbon atoms. Among all fatty acids, 16-18 carbon fatty acids are the most common.[4]
Fatty acids are amphipathic, having both polar and nonpolar ends. The alkyl chains present in their structure can either be saturated or unsaturated.[4]
Given below is a chart of predominant fatty acids found in mammals:[4]
| Content | 1 | Lauric acid | Dodecanoic | 12 | 0 | Content | 2 | Myristic | Tetradecanoic | 14 | 0 | Content | 3 | Palmitic | Hexadecanoic | 16 | 0 | Content | 4 | Stearic | Octadecanoic | 18 | 0 | Content | 5 | Palmitoleic | Cis-Δ9-Hexadecenoic | 16 | 1 | Content | 6 | Oleic | Cis-Δ9-Octadecenoic | 18 | 1 | Content | 7 | Linoleic | All Cis-Δ9, Δ12-Octadecadienoic | 18 | 2 | Content | 8 | Linolenic | All Cis-Δ9, Δ12, Δ15-Octadecatrienoic | 18 | 3 | Content | 8 | Arachidonic | All Cis-Δ5, Δ8, Δ11, Δ14-Eicosatetraenoic | 20 | 4 |
B. Triacylglycerols
Triacylglycerols (or triglycerides) are tri-esters of fatty acids and glycerol.[4] They are nonpolar and hydrophobic in nature. They do not possess any charge and are termed neutral lipids. Triacylglycerol contains varying lengths of fatty acids that can be saturated or unsaturated.[4]
The two types of triacylglycerols include simple and mixed types. The triglycerides containing only a single type of fatty acids are called simple triglycerides, while those with two or more different types of fatty acids are called mixed triglycerides.[4]

Image: Formation of triglyceride structure.
Source: chem.libretext.org.[5]
C. Waxes
Waxes are esters of long-chain fatty acids and long-chain alcohol.[4] They are solid at room temperature and completely water-insoluble. They are formed by the esterification of long-chain fatty acids and monohydroxy alcohol of higher molecular weight. The popularly known beeswax contains triacontanyl palmitate as a major molecule.[4]

Image: The molecular structure of beeswax.
Source: Toppr.[6]
The hydrophobic nature of waxes allows them to function as water repellents on leaves of some plants, feathers, and cuticles of insects. They also serve as energy storage for planktons and higher aquatic animals.[4]
2. Compound Lipids
The complex or compound lipids contain some other organic molecules in addition to fatty acids and glycerols. They include phospholipids, glycolipids, and lipoproteins.[4]
A. Phospholipids
Phospholipids consist of four components: fatty acids, glycerol or sphingosine, phosphate, and alcohol attached to phosphate. It includes phosphoglycerides, ether glycerophospholipids, and sphingophospholipids.[4] These molecules are amphipathic in nature.
- Phosphoglycerides consist of glycerol, two fatty acid molecules, a phosphate, and alcohol. They are the most abundant phospholipids found in the cell membrane, among all the other phospholipids. The simplest form of phosphoglyceride is phosphatidic acid.[4]
Structurally, the hydroxyl group at C1 and C2 carbon of glycerol are esterified with the carboxyl group of two fatty acid chains, and the hydroxyl group at C3 is esterified with the phosphoric acid.[4] The common alcohol moieties of phosphoglycerides include serine, ethanolamine, choline, glycerol, and inositol.

Image: A general structure of phosphoglycerides
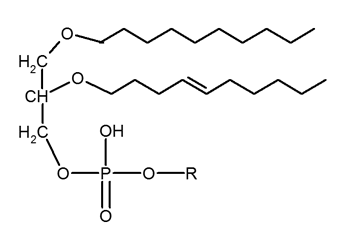
- Ether glycerophospholipids have ether linkage at the C1 position of glycerol. The ether-linked chain may be saturated or unsaturated, containing a double bond between C1 and C2 atoms. The compound with cis alpha, beta-unsaturated alkyl moiety is called plasmalogen.[4]
One most common example of ether glycerophospholipids is the platelet-activating factor (PAF) which functions in platelet aggregation and dilation of the blood vessels.[4]

Image: A general structure of ether glycerophospholipids.
Source: Wikipedia.[8]
Sphingophospholipids are sphingosine (18-carbon containing amino alcohol) derived phospholipids.[4] Its parent structure consists of ceramide, which is a fatty acid joined to sphingosine via an amide linkage.

Image: The structure of ceramide.
Source: chem.latech.edu.[9]
One example of sphingophospholipids is sphingomyelin which is a major constituent of the nervous system in higher animals.[4]
B. Glycolipids
Glycolipids contain a carbohydrate group (attached through a glycosidic bond) in combination with glycerol and fatty acids. It’s the third major class of membrane lipids.[4] The head group of the molecule contains sugar (one or more) connected directly to the hydroxyl group at C1 of the ceramide moiety.
Some examples of glycolipids are cerebroside that has a single sugar moiety attached to ceramide; globoside, having multiple sugar moiety attached to ceramide; and ganglioside, which is a globoside with the head group containing one or more residues of N-acetylneuraminic acid (sialic acid).[4] However, the normal function of ganglioside is still a topic of research.
Some diseases associated with sphingolipid storage are given below:[4]
| Content | 1 | Tay Sach | Ganglioside GM2 | Beta-hexosaminidase A | Content | 2 | Niemann Pack | Sphingomyelin | Sphingomyelinase | Content | 3 | Fabry’s | Trihex Acyl Ceramide | alpha-Galactosidase A |

Image: The structure of glycolipids.
Source: Production and characterization of biosurfactant from bacterial isolates.[10]
C. Lipoproteins
Lipoproteins are lipid-protein complexes. They help lipids derived from food or synthesized in one organ, such as triglycerides, phospholipids, cholesterol, and cholesterol esters, to be transported throughout the body.[4]
Lipoproteins soluble in the blood are categorized into four groups based on their densities:[4]
- Chylomicrons
- Very Low-Density Lipoproteins (VLDL)
- Low-Density Lipoproteins (LDL)
- High-Density Lipoproteins (HDL)
The lipoproteins have a core containing neutral lipids, triacylglycerols and cholesterol esters. The core is coated with a single layer of phospholipids, embedded with apolipoproteins and cholesterol.[11]

Image: A labeled illustrative diagram of lipoproteins.
3. Derived Lipids
Derived lipids are released during hydrolysis of simple and compound lipids. They include steroids and some fatty acids.
A. Steroids
Steroids consist of four fused rings called steroid nucleus. They are complex derivatives of triterpenes.[4] One example is cholesterol which is an essential component in animal cell membranes. It’s stored in cells as fatty acid esters and act as precursors for the biosynthesis of steroid hormones and bile salts.[4]
Cholesterol is absent in fungi and plants. Some other steroids that are common in plants include stigmasterol, sitosterol, and campesterol. In fungi, ergosterol is present in their cell membrane.[4]

Image: The structure of Cholesterol.
Source: Britannica.[12]
B. Eicosanoids
They are a family of biological signaling molecules that act as short-range messengers. They originated from 20 carbon arachidonic acids, and include prostanoids and leukotrienes.[4]
These molecules are formed from two molecular pathways which include cyclooxygenase (cyclic pathway) and lipoxygenase (linear) pathways.[4] The cyclooxygenase pathway is followed by prostanoids which include prostaglandins, prostacyclins, and thrombooxygenase. The lipoxygenase pathway produces leukotrienes.[4]

Image: The structural representation of eicosanoids (prostaglandin, thromboxane, and leukotrienes).
Source: MSR blog.[13]
Based on Fatty Acids
Lipids are divided into two categories based on the type of fatty acids present in them: saturated and unsaturated fatty acids.
1. Saturated Fatty Acids
Saturated fatty acids have no double or triple bonds. They are a simple, unbranched, and linear chain of CH2 groups connected with a carbon-carbon single bond and one carboxylic acid at its end. Their general formula is CH3 – (CH2)n – COOH., where n represents the number of methylene groups.[4]
Some examples of saturated fatty acids include lauric, myristic, palmitic, stearic, behenic, and lignoceric acids.[14]
2. Unsaturated Fatty Acids
Unsaturated fatty acids have one or more double or triple bonds. So, they can either be monounsaturated or polyunsaturated. The naturally occurring fatty acids are generally in the cis configuration, rather than in trans configuration.[4] There are only a few naturally occurring fatty acids with triple bonds and they’re often of plant origin, for example stearolic acid.[15]
The unsaturated fatty acids are named referring to the number of carbons they contain with the suffix -anoic (for saturated fatty acids) and -enoic (for unsaturated fatty acids). For example, stearic acid contains 18 carbons and is named octadecanoic acid (18:0). Here, 18:0 refers to 18 carbon fatty acids with zero double bonds.[4]
The other way of naming these molecules is by using the delta numeric system. For, example, cis-Δ9 represents the cis double bond between carbons 9 and 10. Similarly, trans-Δ4 represents trans double bonds between carbons 4 and 5.[4]
Some examples of monounsaturated fatty acids are palmitoleic acid, oleic acid, gadoleic acid, erucic acid, nervonic acid. And, some common polyunsaturated fatty acids include linoleic acid, linolenic acid, and arachidonic acid.[14]
Based on Requirements by the Human Body
Lipids on the basis of requirements are divided into two groups: essential and non-essential fatty acids.[16]
1. Essential Fatty Acids
Fatty acids that cannot be produced or synthesized in our bodies are called essential fatty acids. These fatty acids need to be taken through a diet to fulfill the body’s requirement for different metabolic functions. It includes linoleic acid, linolenic acid, and arachidonic acid.[16]
2. Non-essential Fatty Acids
Non-essential fatty acids include those lipids that are synthesized by our body. They are not needed to be taken through any outside food source. It includes palmitic acid, oleic acid, and butyric acid.[16]
Biological Significance of Lipids
Lipids being one of the major biomolecules in organisms play several roles. Here’s a list of key metabolic functions of lipids in organisms.[3]
1. Chemical Messenger
Lipids of different classes function as signaling molecules or cellular messengers. They activate different signaling pathways either by binding with G-coupled receptors or nuclear receptors.[3] Some of the lipid molecules involved in signaling functions include:[3]
- Sphingosine-1-phosphate: It’s a potent messenger molecule, involved in calcium mobilizing regulations, cell growth, and apoptosis.
- Diacylglycerol and phosphatidylinositol phosphate: They are involved in calcium-mediated activation of protein kinase C.
- Prostaglandins: It’s an eicosanoid, involved in inflammation and immunity.
- Estrogen, testosterone, and cortisol: These are hormones, modulating several functions including metabolism, reproduction, and blood pressure.
- Oxysterol: It’s involved in regulating biological responses by binding to liver X receptors which is a nuclear receptor essential for cholesterol, fatty acid, and glucose homeostasis.
- Phosphatidylserine: It’s involved in signaling phagocytosis of apoptotic cells by exposing themselves to the outer leaflet of the bilayer cell membrane.[3]
2. Energy Storage
Triacylglycerols or triglycerides, residing in adipose tissues, are a major source of energy in both plants and animals. The complete breakdown of fatty acids releases about 38 kJ/g (9 kcal/g) caloric content.[3] The breakdown of triglycerides in the body is controlled by the enzyme lipase.
3. The Structural Component of the Cell Membrane
The plasma membrane of cells is made of a lipid bilayer with proteins embedded in it. The lipid bilayer is composed of amphipathic glycerophospholipid molecules.[3] All the glycolipids and phospholipids present in the cell membrane act as structural components of the membrane.
The cellular membrane also contains some non-glyceride lipids, which include sphingomyelin and sterols that are involved in membrane flexibility.[3]
4. Other Functions
- Apart from the above-mentioned functions, lipids also serve as pigments (carotene), hormones (vitamin D derivative and sex hormone), cofactors (vitamin K), and detergents (bile salt).[3]
- A subcutaneous layer of lipids helps to insulate and protect the body against cold. Further, fats are also involved in maintaining body temperature.[4]
- Prostaglandins stimulate uterine contraction, lower blood pressure, vasodilation, inflammation, and pain.[4]
- Thromboxanes function as vasoconstrictors and stimulate platelet aggregation.[4]
- Prostacyclins act as antagonists of thromboxanes – it’s a potent vasodilator.[4]
- Leukotrienes play functional roles in chemotaxis, inflammation, and allergic reactions.[4]
Conclusion
Lipids are one of the major biomolecules playing key functions in different organisms. From their first appearance in 1665, the research on these molecules has come a long way. Now, it’s a big family containing different types of lipids including phosphoglycerides, glycolipids, lipoproteins, steroids, sphingomyelins, and eicosanoids.
These molecules regulate diverse bodily functions essential for the living of organisms. Further, current researches are focused on using these lipids in treating and diagnosing life-threatening diseases. For example, several scientists are working on delivering nanoparticles using lipoproteins as drug-delivery systems.[17]
Understanding the role of lipids in diseases can be fruitful in creating effective, targeted, and sustainable solutions in the healthcare sector.
References:
- McNamara, J. R., Warnick, G. R., & Cooper, G. R. (2006). A brief history of lipid and lipoprotein measurements and their contribution to clinical chemistry. Clinica Chimica Acta, 369(2), 158–167. doi:10.1016/j.cca.2006.02.041.
- Aryal Sagar (2018). Lipids- definition, properties, structure, types, examples, functions. Retrieved from https://microbenotes.com/lipids-properties-structure-classification-and-functions/.
- Lipid. Retrieved from https://en.wikipedia.org/wiki/Lipid.
- Kumar, Pranav & Mina, Usha. (2016). Life Sciences, Fundamentals, and Practice, Part I.
- Soult Allison (2020). Lipids and Triglycerides. Retrieved from https://chem.libretexts.org/Courses/University_of_Kentucky/UK.
- Beeswax. Retrieved from https://www.toppr.com/ask/question/bees-wax-consists-of/.
- Lipids. Retrieved from https://www.slideshare.net/mbgk1983/chem-134-unit-8-lipids.
- Ether Lipids. Retrieved from https://en.wikipedia.org/wiki/Ether_lipid#/media/File:Ether_lipid.png.
- Lipids. Retrieved from http://www.chem.latech.edu/~deddy/chem121/Lipids.htm.
- Roy, Arpita. (2014). Production and characterization of biosurfactant from bacterial isolates. 10.13140/RG.2.2.25144.34562.
- Lipoproteins. Retrieved from https://healthjade.net/lipoprotein/.
- Cholesterol. Retrieved from https://www.britannica.com/science/cholesterol.
- About Eicosanoids. Retrieved from http://msrblog.com/assign/science/biology/about-eicosanoid.html.
- Saturated fatty acids. Retrieved from https://www.britannica.com/science/lipid/Saturated-fatty-acids.
- Acetylenic fatty acids. Retrieved from http://cyberlipid.gerli.com/description/simple-lipids/fatty-acids/acetylenic-fa/
- Phukan Luma. Classification and biological significance of Lipids. Retrieved from http://dhingcollegeonline.co.in/attendence/classnotes/files/1601818679.pdf.
- Busatto, S., Walker, S. A., Grayson, W., Pham, A., Tian, M., Nesto, N., Wolfram, J. (2020). Lipoprotein-based drug delivery. Advanced Drug Delivery Reviews. doi:10.1016/j.addr.2020.08.003.
